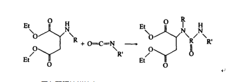
天冬聚脲,全稱聚天門冬氨酸酯聚脲,是近年來聚脲工業領域出現的一種新型脂肪族、慢反應、高性能、環保涂層材料,被稱為第三代聚脲。
一、天冬聚脲化學反應原理

二、天冬聚脲性能特點
由于天冬聚脲樹脂是一種高固低粘(100%固含,粘度800-1200mpa.s/25℃) 、脂肪族的特殊樹脂,因此賦予天冬聚脲材料具備以下特殊性能: 環保施工固含70%-100%; 快快干快包裝,低溫反應快,一次性成膜厚導致施工速度快; 耐候抗紫外線性能強,最高可通過4000hQUVa測試; 性能佳耐磨耐腐蝕抗沖擊,彈性材料(400%,25MPa),剛性材料(2H); 方便可采取輥涂,刷涂,噴涂設備噴涂等多種施工方式。
三、飛揚天冬聚脲涂料與其他涂料的比較
A、飛揚天冬涂料與噴涂聚脲性能比較:

B、飛揚天冬聚脲和聚氨酯涂料性能比較:

C、飛揚天冬聚脲和環氧涂料性能比較:

D、飛揚天冬涂料與水性涂料性能比較:






